首页 K- 近邻算法
文章
取消

K- 近邻算法

概述

简单地说,k近邻算法采用测量不同特征值之间的距离方法进行分类。

k-近邻算法

  • 优点:精度高、对异常值不敏感、无数据输入假定。
  • 缺点:计算复杂度高、空间复杂度高。 适用数据范围:数值型和标称型。

工作原理:存在一个样本数据集合,也称作训练样本集,并且样本集中每个数据都存在标签,即我们知道样本集中每一数据与所属分类的对应关系。输入没有标签的新数据后,将新数据的每个特征与样本集中数据对应的特征进行比较,然后算法提取样本集中特征最相似数据(最近邻)的分类标签。一般来说,我们只选择样本数据集中前k个最相似的数据,这就是k-近邻算法中k的出处,通常k是不大于20的整数。最后,选择k个最相似数据中出现次数最多的分类,作为新数据的分类。

算法简单实现

创建训练数据集&待分类数据

1
2
3
4
5
6
7
# 导包
import numpy as np
import matplotlib.pyplot as plt

train_data = np.array([np.random.random()*10 for x in range(20)]).reshape(10,2) # 创建训练集
train_lable = np.array([0,1,1,1,0,0,1,1,0,1]) # 给每个向量一个标签
test_data = np.array([np.random.random()*10,np.random.random()*10]) # 待分类的目标值

查看数据分布

计算分类点与数据集的距离

1
2
3
4
K=3
len = np.array(np.sqrt(np.sum((train_data-test_data)**2,axis=1))) #axis=1 表示每次只计算一行
# 对值进行排序并取出下标的前K项
predict_lable = [train_lable[x] for x in len).argsort()[:K]]

取标签最后结果作为预测结果

1
2
vote =Counter(predict_lable) # 对待分类值进行预测
vote.most_common(1)[0][0] # 输出预测结果

scikit-learn 中的KNN

导包&创建训练集

1
2
3
4
5
6
import numpy as np
import matplotlib.pyplot as plt
from sklearn.neighbors import KNeighborsClassifier # 导包

train_data = np.array([np.random.random()*10 for x in range(20)]).reshape(10,2) # 创建训练集
train_lable = np.array([0,1,1,1,0,0,1,1,0,1]) # 给每个向量一个标签

创建KNN算法

1
knn_clf = KNeighborsClassifier()

模型训练

1
2
3
4
5
knn_clf.fit(train_data,train_label)
# out:
# KNeighborsClassifier(algorithm='auto', leaf_size=30, metric='minkowski',
#            metric_params=None, n_jobs=1, n_neighbors=2, p=2,
#            weights='uniform')

分类预测

1
2
test_data = np.array([np.random.random()*10,np.random.random()*10]) # 待分类的目标值
knn_clf.predict(test_data) # 使用训练类型进行预测

手动模型性能评估

加载sklearn中鸢尾花的数据

1
2
3
4
5
6
7
import numpy as np
import matplotlib.pyplot as plt
from sklearn import datasets

iris = datasets.load_iris() # 加载数据
x = iris.data # 查看数据内容
y = iris.target # 数据对应的标签

数据下标重排

1
2
np.random.seed(123) #输入随机种子
shuffle_indexes = np.random.permutation(len(x)) # 重排下标

数据集分割(训练集80%,测试集20%)

1
2
3
4
5
6
7
8
9
10
11
test_radio = 0.2
train_len = int(0.2*len(shuffle_indexes))
train_index = shuffle_indexes[train_len:]
test_index = shuffle_indexes[:train_len]

# 训练集特征&标签
train_data = x[train_index]
train_lable = y[train_index]
# 测试集特征&标签
test_data = x[test_index]
test_label = y[test_index]

模型训练&数据预测

1
2
3
4
5
6
from sklearn.neighbors import KNeighborsClassifier

knn_clf = KNeighborsClassifier()
knn_clf.fit(train_data,train_lable)

predict_lable = knn_clf.predict(test_data)

精准度评估

1
np.sum(test_label == predict_lable)/len(test_label)

scikit-learn中的模型性能评估

数据获取

1
2
3
4
5
6
7
8
import numpy as np
import matplotlib.pyplot as plt
from sklearn import datasets
from sklearn.neighbors import KNeighborsClassifier

iris = datasets.load_iris() # 加载数据
x = iris.data # 查看数据内容
y = iris.target # 数据对应的标签

数据分割

1
2
3
from sklearn.model_selection import train_test_split

train_data,test_data,train_lable,test_lable = train_test_split(x,y,test_size=0.2,random_state=123)

模型训练&精准度计算

1
2
3
4
5
# 模型训练
knn_clf = KNeighborsClassifier()
knn_clf.fit(train_data,train_lable)
# 精准度计算
knn_clf.score(test_data,test_lable)

超参数&模型参数

  • 超参数:在模型运行前需要决定的参数
  • 模型参数:算法过程中学习的参数

显然,KNN算法中没有模型参数

寻找最佳超参数

sklearn_KNeighborsClassifier API

class sklearn.neighbors.KNeighborsClassifier(n_neighbors=5, weights=’uniform’, algorithm=’auto’, leaf_size=30, p=2, metric=’minkowski’, metric_params=None, n_jobs=None, **kwargs)

从方法上可以看出一共有如下几个超参数

  • n_neighbors:从待分类点最近K个值中进行判断,默认为5
  • weights:距离权重,可选参数
    • ‘uniform’:最近的K个点权重相同
    • ‘distance’:最近的K个点中,近的点权重比远的点更高
  • p :距离公式参数
  • n_jobs:多少个job共同进行,-1为使用全部进程

可以采用 for 循环来便利超参数来计算出最佳超参数

也可以使用网格搜索来计算

网格搜索

1
2
3
4
5
6
7
8
9
10
11
12
13
14
15
16
17
18
19
20
21
22
23
24
param_grid=[
    {
        'weights':['uniform'],
        'n_neighbors':[i for i in range(1,11)]
    },
    {
        'weights':['distance'],
        'n_neighbors':[i for i in range(1,11)],
        'p':[i for i in range(1,6)]
    }
]

from sklearn.neighbors import KNeighborsClassifier
knn_clf=KNeighborsClassifier()

from sklearn.model_selection import GridSearchCV
grid_search = GridSearchCV(knn_clf,param_grid,verbose=2)

%%time
grid_search.fit(train_data,train_lable) # 训练模型

grid_search.best_estimator_ # 返回最佳模型

grid_search.best_score_ # 返回精准度

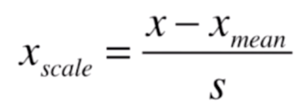
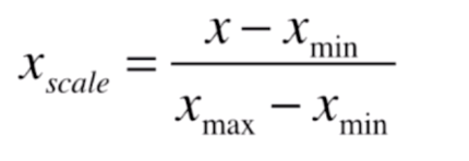
归一化

  • 最值归一化

  • 均值方差归一化

本文由作者按照 CC BY 4.0 进行授权

Pandas入门操作

Unicode&UTF&码点关系